加微信聯系
[HTML]
[XML]
産品展示
新聞中心
技術支持
網站首頁
公司介紹
産品展示
行業資訊
技術支持
樣本下載
産品應用
在線訂購
在線留言
聯系我們
産品分類:
減速機
┊
蝸輪絲杆升降機
┊
轉向箱
┊
蝸輪蝸杆減速機
┊
齒輪減速機
┊
行星齒輪減速機
┊
擺線針輪減速機
┊
無級變速機
┊
大功率減速器
┊
資訊分類
新聞中心
技術支持
産品資訊
和産品相關的技術文章
SWL蝸輪絲杆升降機
TRSS系列絲杆升降機
JWM螺旋升降機
T螺旋傘齒輪轉向箱
ARA螺旋錐齒輪轉向箱
HD螺旋錐齒換向器
R系列斜齒輪硬齒面減速機
S系列斜齒輪蝸輪減速機
K系列螺旋錐齒輪減速機
F系列平行軸斜齒輪減速機
RV系列蝸輪蝸杆減速機
WP鑄鐵蝸輪蝸杆減速機
伺服行星減速機
P系列行星齒輪減速器
X/B系列擺線針輪減速機
WB微型擺線減速機
MB無級變速機
G全封閉齒輪減速電機
MC硬齒面減速器
HB标準工業齒輪箱
Z系列硬齒面圓柱齒輪減速機
當前位置:
網站首頁
>
技術支持
> 齒輪材料及熱處理質量檢驗的一般規定齒輪材料及熱處理質量檢驗要求(二)(GB/T8539-2000)
齒輪材料及熱處理質量檢驗的一般規定齒輪材料及熱處理質量檢驗要求(二)(GB/T8539-2000)
Tags:
S系列斜齒輪蝸輪減速機
發布時間: 2014-06-16
採用說明:
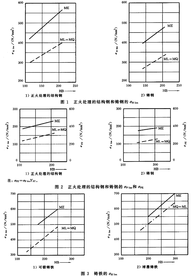
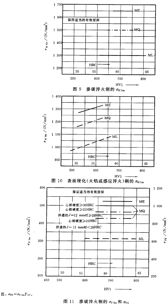
1]ISO文本中本圖(tú)的1)與2)圖(tú)樣颠倒,已訂(dìng)正。
上一篇:
齒輪材料及熱處理質量檢驗的一般規定齒輪材料及熱處理質量檢驗要求(一)(GB/T8539-2000)
下一篇:
齒輪材料及熱處理質量檢驗的一般規定附錄(GB/T8539-2000)
相關新聞文章
> 查看更多
軸承異響-制造與選型缺陷
2026-01-27
機械上聯軸器的型号如何表示
2025-12-17
車用發動機噪聲控制措施
2025-11-26
車削螺紋時常見故障及解決方法-啃刀
2025-08-27
中型電動機軸承故障的分析及改造
2025-08-07
存在在鋼材中的疏松對軸承有什麽危害
2025-07-10
爲什麽有的銑刀上必須有不同的齒距
2025-05-28
錐齒輪承載能力計算方法第1部分:概述和通用影響系數應用(GB/T10062.1-2003)
2025-04-29
滾齒機制造出來的齒輪的間距和深度有什麽規格
2025-02-26
什麽是内引導
2024-11-27
軸承的注脂量對軸承的使用有什麽影響?
2024-10-17
圓柱齒輪 檢驗實施規範 第4部分:表面結構和輪齒接觸斑點的檢驗範圍、引用标準(GB/Z18620.4-2002)
2024-09-07
【
關閉本頁
】 【
打印本頁
】
電 話:021-22815912 021-22816186 傳 真:021-32050712 郵箱:sales@021jsj.cn
減速機
絲杆升降機
轉向箱
蝸輪蝸杆減速機
Copyright
©
2009-2026
上海恒點傳動設備有限公司
版權所有 地址:上海市金山區亭林鎮林寶路39号 郵編:200442
滬ICP備10206998号-2
友情鏈接
:
機械設備網
|
渦街流量計
|
輸送機
|
變頻控制櫃
|
破碎機
|
工業同城
|
手持終端
|
柴油發電機
|
uv平闆打印機
|
風淋室
|
QUV
|
防火門
|
九愛圖紙
|
感應加熱設備
|
輸送帶廠家
|
噪聲治理
|
西門子plc
|
拖鏈電纜
|
AGV
|
機械雜志
|
現代機械
|
UWB高精度定位
|
×
手機用戶請長(zhǎng)按添加到“照片”,然後(hòu)打開微信掃一掃選擇二維碼。